《域外视点》是大数据与国家传播战略实验室推出的新栏目,旨在分享国际知名学者有关国际政治、国际传播、国际关系等领域的最新研究成果与学术观点。
对于许多人来说,搜索引擎是获取(政治)信息的关键门户。现有研究多关注算法偏见,用户选择在很大程度上被忽视了。然而,搜索查询是搜索者明确表达其信息需求的关键方式。基于框架理论和选择性接触理论,我们认为搜索查询深刻地植入了搜索者个人的(政治)偏见:搜索者心中的问题框架在搜索词和查询中表现出来。利用荷兰调查数据(N=1994),通过手动编码和潜在类别分析,我们探讨了不同类型的人如何制定关于移民和气候变化的搜索查询(RQ1)。回归分析显示了这些搜索者类型与政治态度和人口统计学特征之间的关系(RQ2)。值得注意的是,搜索者以与其政治立场相关的方式进行查询,但也因查询问题的不同存在差异。这意味着在用户选择方面存在系统差异,这是未来在研究搜索引擎时需要考虑的。
Searching differently? How political attitudes impact search queries about political issues
Marieke van Hoof,University of Amsterdam, The Netherlands
CorineS Meppelink,University of Amsterdam, The Netherlands
Damian Trilli,University of Amsterdam, The Netherlands
van Hoof, M., Meppelink, C. S., Moeller, J., & Trilling, D. (2024). Searching differently? How political attitudes impact search queries about political issues. New Media & Society, 26(7), 3728-3750.
https://doi.org/10.1177/14614448221104405
大多数人通过数字平台,如社交媒体、搜索引擎或新闻聚合器来获取新闻和(政治)信息。据称,数字平台允许个人根据自己的喜好对自己的信息进行个性化设置,从而为创建回音室提供了条件。一些人担心,这种倾向因算法过滤而得到加强,算法过滤会捕捉到这些明确的信号,并将人们困在过滤气泡中,其中所有与个人已有态度相悖的信息都被过滤掉了。还有一些人认为,公民对数字平台的依赖不利于协商民主的理想,协商民主依赖于接触广泛新闻和观点的公民群体,以帮助政治决策。与个人观点相类似的信息环境可能会导致两极分化加剧。
本文考察了政治搜索引擎的使用情况,与社交媒体相比,政治搜索引擎受到的学术关注相对有限。考虑到搜索引擎在塑造我们的政治态度和决策方面起着决定性的作用,这是文献的一个重要空白。搜索引擎是获取新闻的重要途径,人们通过搜索引擎了解政治事件。此外,它们还具有(误导性的)声誉,即作为可靠和无偏见的信息来源,但有证据表明,搜索引擎并不是内容中立的,它们的结果会对选民偏好产生显著影响。
以往关于政治搜索引擎使用的研究试图在搜索结果中找出过滤气泡效应。然而,在政治搜索引擎的使用中,一个经常被忽视但很重要的因素是搜索查询。搜索引擎会根据搜索查询提供最“相关”的网络内容,同时也会考虑其他隐性因素。因此,查询是用户表达其信息需求的关键方式。虽然很多人对在线消费政治信息和新闻的后果深感担忧,但我们对人们最初如何搜索政治信息知之甚少。因此,我们询问人们如何选择搜索引擎上的政治信息查询(RQ1),以及这些类型如何与政治和人口统计学特征相关(RQ2)。
基于框架理论和政治信息选择性接触的文献,我们认为个体不会以中立或通用的方式制定搜索查询,而是与搜索者的先前经验、兴趣和信仰紧密相关。虽然信息搜索也可能受到情境因素的影响,但我们专注于用户特征的作用。我们使用荷兰的代表性人群样本收集调查数据来评估问题。具体而言,我们将关于移民这一持续两极化问题的搜索查询与关于气候变化这一新颖且分歧较小问题的搜索查询进行了对比。大多数现有研究都集中在两极分化的党派背景下,但这并不总是适用于本研究更加关注的欧洲背景。
我们结合定性和定量编码以及潜在类别分析(LCA
)来识别搜索者类型。然后,根据问题态度、问题重要性、政治取向和政治兴趣以及人口统计学控制变量对这些类型进行回归分析,以了解人们是否以及如何以不同的方式搜索政治信息。

图 1.Google 搜索结果页中“移民”和“难民”搜索结果
关于政治搜索查询选择的相关研究很少,但一些初步证据表明搜索查询反映了政治偏好。例如,Borra和Weber(2012)通过搜索查询来预测网站的政治倾向,表明查询本身表现出政治偏好。Trielli和Diakopoulos(2020)的研究表明,在美国中期选举期间,民主党和共和党在搜索自己政治候选人和对方候选人的信息时,所使用的搜索查询存在主题差异。Slechten等人(2021)研究了选择性接触如何影响政治主题在线搜索的各个步骤,并发现人们倾向于制定与态度一致的搜索查询。
两个研究领域可以帮助我们理解搜索查询选择与政治特征之间的关系:框架理论和选择性接触。
尽管框架理论主要用于理解大众传播的影响,但它也为研究搜索引擎用户如何通过搜索查询自主选择不同的信息环境提供了有用的理论框架。有大量来自框架研究的证据表明,人们会内化媒体的议题框架。简言之,媒体的议题框架传达了哪些议题方面被认为是相关的,以及人们在思考或讨论这一议题时应如何表达自己。这一过程影响了个体对议题的理解:即“思维框架”或“受众框架”。
框架研究主要集中在接触框架后的情感、态度和行为后果上。较少有研究试图直接研究思维框架。然而,Price等人发现,接触不同的新闻框架会影响人们随后的实质性想法。另一项研究发现,两个看似相似的术语——“全球变暖”和“气候变化”——在公众以及美国党派之间引发了不同的主题联想。其他使用类似方法——接触框架并使用开放式调查问题测量思维中的框架——对其他议题领域得出了类似的结论:议题的呈现方式能够让人们将注意力集中在议题的特定方面。
本研究通过探讨议题框架的一个不同后果,即人们心中的议题框架如何影响信息搜索,为框架理论文献做出贡献。具体来说,就是框架如何在搜索查询的选择中体现出来。框架研究者区分了“强调框架”和“等价框架”。强调框架是指选择一组信息而非其他信息,而等价框架则关注对等效信息的不同描述。当谈到框架在搜索查询中的思维表现时,两种类型的框架都很重要:根据心中的议题框架,搜索者更倾向于搜索特定主题而非其他主题,这与他们用来描述主题的词汇交织在一起。
虽然这超出了本文的范围,但值得注意的是,媒体内容和搜索结果的框架是相互关联的。思维框架在一定程度上反映了媒体框架。这些框架可能会转化为搜索查询,随后,搜索引擎预计会返回反映类似框架的信息。
选择性接触研究有助于我们理解人们如何在信息搜索中受到这些框架的引导。大量实证证据表明,人们倾向于寻求与自己态度一致的信息,因为人们通常更喜欢接触支持自己立场的信息。从费斯廷格(1957)的认知失调理论来看,这种倾向背后的驱动力通常被认为是动机推理。动机推理的一般前提是,人们除了形成准确的观点外,还有维护自己现有信仰的动机。这体现在对新信息的偏见态度上:与态度一致的信息往往被评价为更强、更有说服力(先前态度效应),与态度相悖的信息更可能通过反驳来处理(失证偏差),当人们有选择时,他们倾向于自我选择确认信息而不是挑战信息(确认偏误)。
关于政治选择性接触的研究主要集中在内容的选择上。例如,新闻机构和网站的选择揭示了党派倾向。就搜索引擎而言,证据表明人们会阅读和选择支持自己立场问题的搜索结果。
然而,人们有选择性地回
避具有挑战性的信息这一说法却备受争议。
总之,尽管研究报告表明人们对多样性感兴趣,但实际上人们倾向于以符合自己观点和兴趣的方式塑造自己的信息环境。尤其是搜索引擎,它为人们提供了更多的自我选择机会,因为人们需要主动输入查询词来搜索信息,这也可以看作是选择信息之前的一个步骤。鉴于这种程度的用户自主性,我们预计搜索查询将反映出人们在选择信息时所表现出的类似倾向:搜索查询表达了搜索者心目中认为与某个政治问题相关的方面。
我们考虑了几个个体层面的因素来塑造关于政治问题的搜索查询:问题态度、问题重要性、一般的政治立场和政治兴趣。
基于政治信仰、偏好和兴趣将驱动用户如何搜索政治问题的假设,我们预期特定问题的态度会影响搜索查询的表述。我们还从更广泛的意义上探讨了政治偏好的作用:即左右政治立场。政治立场反映了公民对各种经济和文化问题的立场。通常认
为,特定问题的态度和政治立场是政治信息寻求和问题框架研究中的相关因素。
此外,我们预计个人对问题的重要性会调节特定问题的态度与搜索查询选择之间的关系,有时将其概念化为问题公众。鉴于对问题非常重视的人动机推理会增强,个体更有可能寻求与态度一致的政治信息。转化为搜索查询,我们质疑高度参与的人是否比不太参与的人更受他们的问题立场驱动。
最后,政治兴趣被认为是人们参与新闻和政治信息的重要因素,这也可能适用于在线搜索。鉴于对政治感兴趣的人更经常通过搜索引擎获取新闻,一种解释可能是,对政治感兴趣的用户在搜索政治问题方面更有能力,因为他们拥有更多知识或更有可能在过去这样做过。
| 移民 |
气候变化 |

|

|

|

|
|
LCA分析标记了五种搜索类型:统计和事实、难民、文化影响、经济影响和庇护。
|
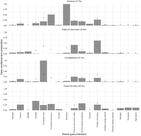
LCA分析标记了四种搜索类型:解决方案、政治和信息、后果和因素以及参与者。 |

|

|
| 与所有其他类型相比,移民态度显著和消极地预测了庇护类型,并显著和积极地预测了难民类型。此外,与所有其他类型相比,在其他条件相同的情况下,问题重要性并不能显著影响搜索者类型。政治倾向是影响搜索者类型的重要因素,但文化影响类型对政治的兴趣明显低于其他类型。受教育程度和年龄影响显著,性别影响不显著。 |
气候变化态度即支持或反对气候的立场并不能解释人们用来搜索有关该主题的更多信息的搜索查询类型。政治取向和问题重要性也不能显著地解释该问题。然而,气候变化态度和问题重要性之间的交互效应能够显著增加拟合度。政治兴趣和受教育程度影响不显著,年龄和性别是搜索者类型的重要预测因素。 |
在本文中,我们探讨了人们如何就政治问题制定搜索查询(RQ1),以及这些类型的人如何与政治和人口统计学特征相关联(RQ2)。我们的分析表明,人们在搜索某一政治问题时使用了大量的不同搜索查询。搜索引擎用户会就不同的子话题制定查询,并根据问题本身使用不同的术语来描述它。值得注意的是,我们发现人们以系统不同的方式使用搜索查询。搜索查询的变化对应于不同的搜索者类型,这些类型在一定程度上与政治和人口统计学特征相关。对于与移民相关的搜索,问题态度和政治倾向很重要,还有教育、性别和年龄。对于与气候相关的搜索,问题的重要性是解释搜索查询的一个更相关的因素;问题态度和一般的政治倾向则不那么重要。年龄和性别也对气候相关的搜索产生影响。荷兰的移民辩论比气候辩论更具两极分化。因此,预期问题态度在前者中比后者更重要。在两个明显不同的政治问题之间找到关联,加强了人们以与其政治立场(即问题立场或感知重要性)相关联的系统不同方式搜索政治信息的观点。
我们的研究对框架理论和选择性接触理论研究具有重要意义。虽然框架理论已经研究了问题框架如何影响后续行为,但我们通过研究问题框架如何体现在信息搜索中来为这一领域做出贡献。对于移民问题,搜索查询中的词汇选择和主题都与一个人的政治观点相对应,这与等价框架和强调框架的研究有关。虽然之前的研究发现美国的气候变化存在等价框架,但我们的发现仅与强调框架有关。这可能是由于这些背景下公众对气候变化的看法结构不同所导致的。关于选择性接触的研究发现,人们往往会自我选择进入与自己态度一致的信息中。我们将这一论点从信息选择扩展到了搜索查询的制定上。这是一个需要考虑的重要因素,特别是当个人越来越依赖搜索引擎获取信息时。
我们的发现对搜索结果的研究,特别是关于“过滤气泡”的研究也有重要意义。用户输入的系统性差异可能会影响搜索结果,这种影响甚至可能比算法更大。因此,用户可能会自我选择进入与自己观点相呼应的信息环境。尽管有学者认为,搜索查询的差异不足以产生截然不同的搜索结果,但这项早期研究是在两党制的背景下进行的,并研究了选举期间关于政治候选人的查询。这种设置可能会因为谷歌对新闻相关查询的近期和可信来源的优先处理而产生主流化效应。需要更多的研究来得出结论。
其他对搜索引擎算法的研究发现,通过在不同设置下输入相同的搜索查询,算法诱导的“过滤气泡”的证据很少。我们表明,这些研究可能低估了用户驱动的影响,因为这种方法忽略了具有不同信息需求的人已经在他们的查询中明确表达了这一点。这创造了一个复杂的画面,展示了用户和算法如何共同创造信息环境。如果存在“过滤气泡”,它们很可能是在用户选择和个性化算法之间的交互中产生的。因此,未来研究应该在关注算法管理的媒体的同时,考虑用户选择和响应系统。具体来说,我们需要研究搜索内容和算法个性化因素(例如搜索历史、浏览历史、位置)对搜索结果的主要和条件影响,这在方法上具有挑战性。
此外,这项研究在范围和方法上存在局限性。我们的分析策略是分析这些数据的一种合理方法,但也可以想象其他合适的方法以及其他预测因素(例如识字能力)。我们利用调查数据来衡量搜索查询的使用情况,而不是真实的搜索数据。虽然搜索数据存在稀疏性问题和隐私担忧,但调查数据允许我们向用户提示搜索特定主题,轻松地将这些搜索与背景特征联系起来,并将查询制定与搜索引擎功能(例如自动完成、搜索建议)的影响隔离开来。调查中获得的搜索查询似乎类似于真实的搜索查询,但使用调查数据会牺牲一些生态效度:它无法解释搜索引擎功能的潜在影响,也无法反映真实的迭代搜索行为。此外,也无法考虑情境因素,如在其他地方(如电视、社交媒体)的信息接触或影响个人信息需求的影响,这些很可能是在线搜索的触发因素。然而,我们发现了与政治观点在一定程度上相关的搜索查询集群,这表明其中一部分可以由用户特征来解释。因而未来的工作应该提高(政治)搜索查询研究的生态效度:解决情境因素和特征的影响,用搜索历史验证调查数据中的搜索查询,以及探索个人搜索历史的使用。
总之,我们的发现表明,考虑用户在网上做出的选择很重要,因为他们是根据他们的(政治)倾向来做出这些选择的。随着我们越来越多地将信息消费转移到线上,探索用户在算法管理的平台上扮演的角色是一个至关重要的谜题。
